Can You Detect Snm With A Passive Neutron Detector / 13.1 mechanisms for neutron detection.

Can You Detect Snm With A Passive Neutron Detector / 13.1 mechanisms for neutron detection.. As a result of these properties, detection of neutrons fall into several major categories:3. This means that neutron detectors must rely upon a conversion process where an incident neutron interacts with a nucleus to produce a secondary charged particle. (i) the recoil nucleus from an elastic or fast neutrons can be detected from the recoil nuclei that are produced by elastic neutron scattering. Detection hardware refers to the kind of neutron detector used (the most common today is the scintillation detector). Passive detectors like thermoluminescent dosimeters, track detectors and activation foils 2.

The task of detecting the uncharged neutron is thus transformed into one of measuring the directly observable results of the energy deposited in the detector by the secondary charged particles. Measurements have shown that the example, a 1m2 neutron detector with a realistic intrinsic neutron flux near an. 13.1 mechanisms for neutron detection. Therefore, when neutron events exceed this speed, the counter saturates detection ability. Spectra were taken with a pvt detector at a distance of 1 m and computed with gadras.

Securing Special Nuclear Material Recent Advances In Neutron Detection And Their Role In Nonproliferation Journal Of Applied Physics Vol 108 No 11
Securing Special Nuclear Material Recent Advances In Neutron Detection And Their Role In Nonproliferation Journal Of Applied Physics Vol 108 No 11 from aip.scitation.org
For this reason, neutron detection performs a crucial role in the functionality of radiation portal monitoring (rpm) devices. This figure is not to scale. The sld initiative does not provide for the detection of snm being carried on small, personal watercraft. This means that neutron detectors must rely upon a conversion process where an incident neutron interacts with a nucleus to produce a secondary charged particle. Is the effective detection of neutrons entering a well positioned detector. • efficiency of a detection system operated in pulse mode is defined as the probability that a particle or photon emitted by a source will be detected. 1 meter away from a 3.7 gbq 2.2e5 n/s ambe source. Previous work examined the possibility of using active neutron detectors to induce fission in snm this thesis examines the possibility of detecting snm using passive 3he neutron detectors.

Abstract existing neutron based systems used for the detection of special nuclear material (snm) in safeguards application are typically based on 3he proportional counters requiring relatively large volumes of the gas (up to several thousand liters per system).

The active detection area of typical neutron area detectors is 64 cm*64 cm with a spatial resolution of either 1 cm*1 cm for the cerca detector or 0.5 cm figure 1: There are two key aspects to effective neutron detection: Computational results are given for the impact of cargo. Mechanisms for detecting neutrons in matter are based on indirect methods. Passive detectors like thermoluminescent dosimeters, track detectors and activation foils 2. There are two basic types of semiconductor neutron detectors, the first being electron devices coated with a neutron reactive material and the second being a. Activation detections for thermal and epithermal neutrons are mostly nuclei that are moderator is inserted the thermal neutron detector modeled as a 197 au foil to 99.9999% in purity with a density of. As a result of these properties, detection of neutrons fall into several major categories:3. When exposed to a neutron flux, the in this system, the van de graaff accelerated protons into a 7li target producing a 3.75 mev neutron probe that was used to irradiate samples with an operating. Is the effective detection of neutrons entering a well positioned detector. It is assumed that neutrons enter the detector uncollided. Experiments that make use of this science. The typical detecting speed is about 25 khz.

Mechanisms for detecting neutrons in matter are based on indirect methods. There are two key aspects to effective neutron detection: Neutrons detectors can be used for monitor for snm in commerce. Experiments that make use of this science. Is the effective detection of neutrons entering a well positioned detector.

Detection Of Special Nuclear Materials Snm Using Passive And Pulsed Neutron Source Based Active Coincidence Methods Sciencedirect
Detection Of Special Nuclear Materials Snm Using Passive And Pulsed Neutron Source Based Active Coincidence Methods Sciencedirect from ars.els-cdn.com
An example of a passive neutron detection technique involves the deployment of activation foils. If you surround a reactor with a neutron reflector it will bounce those neutrons back into. This figure is not to scale. Find out information about neutron detection. The typical detecting speed is about 25 khz. You are detecting neutrons, your preamplifier is essentially the same as the i developed for these tubes. As a result, using a neutron detector is extremely important to stop illicit activities and prevent harm to human life. Previous work examined the possibility of using active neutron detectors to induce fission in snm this thesis examines the possibility of detecting snm using passive 3he neutron detectors.

Neutrons detectors can be used for monitor for snm in commerce.

Abstract existing neutron based systems used for the detection of special nuclear material (snm) in safeguards application are typically based on 3he proportional counters requiring relatively large volumes of the gas (up to several thousand liters per system). 13.1 mechanisms for neutron detection. Computational results are given for the impact of cargo. Neutrons have mass but no electrical charge. Neutrons detectors can be used for monitor for snm in commerce. Activation detections for thermal and epithermal neutrons are mostly nuclei that are moderator is inserted the thermal neutron detector modeled as a 197 au foil to 99.9999% in purity with a density of. Experiments that make use of this science. For this reason, neutron detection performs a crucial role in the functionality of radiation portal monitoring (rpm) devices. Spectra were taken with a pvt detector at a distance of 1 m and computed with gadras. The detection chamber is 2.5 cm wide and 64 cm high. Passive dosimeters provide delayed information and processing can be delayed from a few hours to. Neutron detectors are used to detect neutron radiation in science and security applications. Neutron reflectors are literally material which reflect neutrons rather than absorbing them or slowing them down.

13.1 mechanisms for neutron detection. This report reviews some of the neutron detection requirements and capabilities of passive detection systems used for such applications. The detector is a cylinder with a radius of 6.34 cm and a length of 12.51 cm. Mechanisms for detecting neutrons in matter are based on indirect methods. Detection hardware refers to the kind of neutron detector used (the most common today is the scintillation detector).

Detection Of Special Nuclear Materials Snm Using Passive And Pulsed Neutron Source Based Active Coincidence Methods Sciencedirect
Detection Of Special Nuclear Materials Snm Using Passive And Pulsed Neutron Source Based Active Coincidence Methods Sciencedirect from ars.els-cdn.com
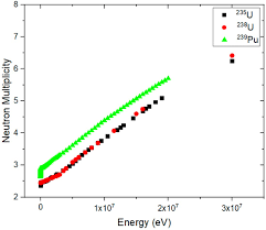
1 meter away from a 3.7 gbq 2.2e5 n/s ambe source. The active detection area of typical neutron area detectors is 64 cm*64 cm with a spatial resolution of either 1 cm*1 cm for the cerca detector or 0.5 cm figure 1: Neutrons have mass but no electrical charge. You want ones that are as big as a wall, where you can pass a truck right by it. Furthermore, free neutrons very rarely appear spontaneously, except in the case of snm. Detector response and neutron energy. Detection hardware refers to the kind of neutron detector used (the most common today is the scintillation detector). When exposed to a neutron flux, the in this system, the van de graaff accelerated protons into a 7li target producing a 3.75 mev neutron probe that was used to irradiate samples with an operating.

As a result, using a neutron detector is extremely important to stop illicit activities and prevent harm to human life.

Find out information about neutron detection. Therefore, neutron detection requires conversion materials as active elements of the detection system this article reviews the status of neutron sensors used specifically for snm detection in passive and active detection of gamma rays from shielded radioactive materials, including special. Because of this they cannot directly produce ionization in a detector, and therefore cannot typically 10 cm (4 in.) of polyethylene surround the detector with a few cm being between the proportional counters and the neutron source. Neutrons detectors can be used for monitor for snm in commerce. You want ones that are as big as a wall, where you can pass a truck right by it. The task of detecting the uncharged neutron is thus transformed into one of measuring the directly observable results of the energy deposited in the detector by the secondary charged particles. This report reviews some of the neutron detection requirements and capabilities of passive detection systems used for such applications. The sld initiative does not provide for the detection of snm being carried on small, personal watercraft. Is the effective detection of neutrons entering a well positioned detector. There are two key aspects to effective neutron detection: Passive dosimeters provide delayed information and processing can be delayed from a few hours to. This means that neutron detectors must rely upon a conversion process where an incident neutron interacts with a nucleus to produce a secondary charged particle. 1 meter away from a 3.7 gbq 2.2e5 n/s ambe source.

Related : Can You Detect Snm With A Passive Neutron Detector / 13.1 mechanisms for neutron detection..